How to estimate measurement uncertainty?

As most of our users already know, Validation Manager enables estimating measurement uncertainty (in short, MU or simply U), which is required in ISO 15189 accreditation. There have been varying practices in how it’s calculated, and up until recently Validation Manager has offered two simple ways for this: It has been possible to estimate measurement uncertainty only based on measurement imprecision obtained through ANOVA, or the equation may have been complemented with bias calculated as the difference between measured mean value and the known true concentration of the sample. The justification for using this bias component in the equation is that it’s the only way to estimate error sources not represented by the ANOVA imprecision in this measurement setup.
Yet, we often have more information about uncertainties related to our method, for example through manufacturer specifications, and this information should be included in our estimation of measurement uncertainty. Luckily, the new ISO 15189:2022 refers to the ISO/TS 20914:2019, which describes in detail how to include these factors in the measurement uncertainty equation.
To better meet all these needs, Validation Manager now includes the necessary tools for detailed MU calculation, while still retaining the flexibility and options for laboratories to choose the approach that works best for them. Here’s a short introduction on how to calculate measurement uncertainty using Validation Manager.
The workflow is nearly the same as before. You should do replicated measurements over multiple days in realistic laboratory conditions to be able to estimate the imprecision of your method at certain concentrations. In Validation Manager, select the Quantitative Accuracy study for your project.
When planning the study in your Validation Manager, consider whether to include bias in your calculations or not. Your study Plan Goals page contains a setting for this. To be precise, ISO/TS does not consider bias as part of MU, but specifically assumes that any bias is corrected. When bias is within specification, there is no reason to include it. Yet, there are cases where it is not possible to remove the effect of bias, and in those cases, it is possible to include bias in calculations. Whether or not to do this depends on how your laboratory wants to estimate measurement uncertainty.

Selecting accuracy parameters and analysis parameters on study Plan Goals page.
After importing your measured results into Validation Manager, you can set the true concentrations of the samples in the Work Concentrations page of your study. This is not mandatory, but enables estimating bias from the sample/control material used in the study in cases where bias is not already known e.g. from EQA rounds. Concentrations can be imported for all analytes and samples at the same time. Concentration and Bias are shown separately on the report regardless of whether they are used in calculating the measurement uncertainty.
On the same page, you can set the information for all relevant uncertainty sources.

Setting concentrations and values for uncertainty components after importing results.
In the rightmost column of the page, you can set uncertainty of calibrators for each analyte and sample. This is information you should find in the manufacturer’s documentation if the measurement procedure contains calibrators. If bias is within specification without further adjustments, uncertainty of measurement can be calculated as

where CV is the coefficient of variance of the measured results calculated through ANOVA, u is the uncertainty of calibrators, and the multiplier k can be set on the study plan. The default value k=2 corresponds to the 95% confidence level.
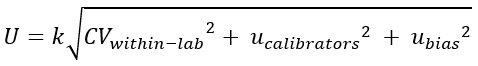
Right before the uncertainty of calibrators column, there’s a column for uncertainty of bias correction. If your laboratory has detected bias and made corrections to remove it, the uncertainty related to this bias correction should be added into this column. The equation for uncertainty of measurement becomes

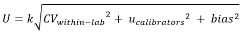
f your bias is not within specification and you have chosen in the plan to include bias in your estimation for measurement uncertainty, there are now two optional ways for including it in the calculation. If you have set the true concentrations of the samples, Validation Manager can estimate bias by comparing the mean of measured values to the true concentration. Optionally, if you have information of the bias of your measurement procedure, for example from EQA results, you can enter the known bias in the Concentrations view. If bias is given, Validation Manager uses it instead of the estimation calculated from measured results and true concentration. Either way, the equation for measurement uncertainty becomes

These are the basic cases for calculating measurement uncertainty, but Validation Manager gives more flexibility. If your measurement procedure does not contain calibrators, simply leave this field empty, and calculations will be done similarly without this uncertainty component. And if for some reason it is practical for you to have both bias and uncertainty of bias included in the equation, that’s also possible. Measurement uncertainty is calculated from imprecision and all available uncertainty components. If your study contains multiple analytes that have different uncertainty components, you can simply leave the redundant fields empty, as each analyte and sample is handled separately in the calculations.




